Sáng 27/6, hơn 1,1 triệu thí sinh hoàn thành kỳ thi tốt nghiệp THPT với hai bài thi tự chọn. Trong đó, gần 353.000 trong số 1,14 triệu học sinh theo chương trình mới chọn môn tiếng Anh.
Đáp án chính thức của Bộ Giáo dục (Cập nhật ngày 6/7)
Mã đề 1101-1102 | 1105 | 1108 | 1112 |
1115 | 1116 | 1122 | 1125 |
1127 | 1128 | 1135 | 1137 |
1139 | 1140 | 1143-1144 | 1148 |
Năm ngoái, khi Tiếng Anh còn là môn thi bắt buộc, trong gần một triệu thí sinh, có hơn 560 em đạt điểm tuyệt đối. Ngược lại, 145 em bị điểm liệt (từ 1 trở xuống). Gần 42,7% bài thi dưới điểm trung bình. Điểm trung bình thí sinh đạt được là 5,51.
Giáo viên "toát mồ hôi" vì đề thi Tiếng Anh - Gợi ý đáp án 48 mã đề tiếng Anh
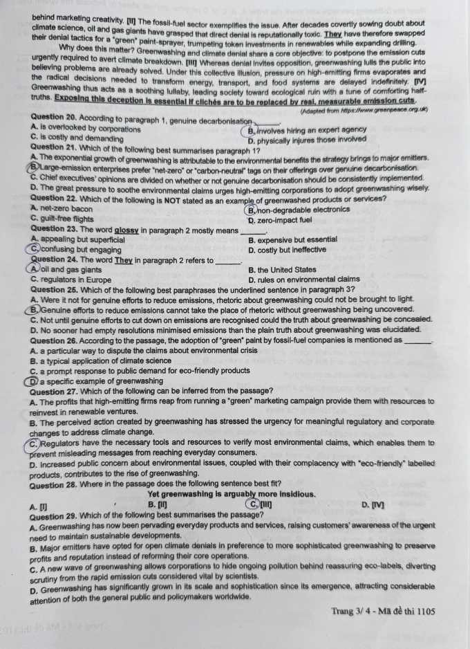
Đề tiếng Anh thi tốt nghiệp THPT 2025, mã đề 1105:




Ra khỏi trường thi, Thanh Thúy, THPT Gia Định, TP HCM, đánh giá đề Tiếng Anh thi tốt nghiệp khó. Nữ sinh cho biết khi luyện đề thường dư 15 phút nhưng với đề thi lần này em không đủ thời gian.
"Em chỉ làm tới câu 32 thì trống đánh, đành bỏ", Thúy nói. Theo em, phần khó nhất là đọc hiểu, chọn câu đặt vào đoạn văn cho phù hợp ngữ cảnh.
"Đề này dài, nặng từ vựng, ngữ pháp".
Lê Quốc Huy, ở Hà Nam, thấy đề Tiếng Anh thi tốt nghiệp có cấu trúc tương tự đề minh họa với những dạng bài quen thuộc, nhưng "khó hơn rất nhiều" những gì đã luyện tập. Với Huy, phần dễ lấy điểm của đề là sắp xếp đoạn văn, trắc nghiệm nhiều phương án. Hai bài đọc hiểu cũng khó nhất, vì dài và nhiều từ mới. Nam sinh cũng gặp khó với bài điền từ vào đoạn, câu văn (đục lỗ).
"Em có khoảng 10 câu khoanh bừa, không chắc chắn", Huy nói, dự đoán mình chỉ được khoảng 7 điểm, thấp hơn 2 điểm so với mục tiêu.
Kỳ thi tốt nghiệp THPT diễn ra ngày 26-27/6 với hơn 1,16 triệu thí sinh. Nhóm theo chương trình 2018 thi hai môn bắt buộc là Toán và Ngữ văn. Ngoài ra, các em chọn hai môn trong nhóm: Hóa học, Vật lý, Sinh học, Địa lý, Lịch sử, Giáo dục kinh tế và pháp luật, Tin học, Công nghệ và Ngoại ngữ (Anh, Đức, Nga, Nhật, Pháp, Trung, Hàn).
Trừ Ngữ văn thi tự luận, các môn còn lại là trắc nghiệm, gồm 1-3 phần, ứng với ba dạng câu hỏi. Trong đó, phần II là câu hỏi dạng đúng/sai, mỗi câu có 4 ý. Thí sinh chọn chính xác một ý trong một câu được 0,1 điểm; hai ý được 0,25; ba ý được 0,5. Làm đúng cả bốn ý, các em mới lấy trọn vẹn 1 điểm. Đây là điểm mới so với mọi năm.
Điểm thi tốt nghiệp THPT năm 2025 được công bố vào ngày 16/7.
Điểm chuẩn 200 trường đại học năm 2024

Thí sinh làm bài thi tốt nghiệp tại trường THPT Nguyễn Trường Tộ, quận Đống Đa, Hà Nội, sáng 27/6. Ảnh: Giang Huy
Lệ Nguyễn - Thanh Hằng